Welcome to ChemToo
📞 +86-0536-2205782 📧 arron.seagulls@gmail.com
Language: English | Japanese | Russian

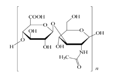
Acid, Hyaluronic

CAS No.: 9004-61-9

  • Molecular Formula: (C₁₄H₂₁NO₁₁)n
  • Molecular Weight: 379.3 g/mol

Chemical type

  • Natural polysaccharide
  • Anionic polymer
[1]
  • Glycosaminoglycan
[2]
  • Anionic non-sulphated glycosaminoglycan (GAG)
[3]

Key properties

  • Biocompatible and biodegradable
  • CD44 receptor targeting
  • Enhances cellular uptake in cancer and stem cells
[1]
  • Fundamental component of extracellular matrix
  • Provides skin moisture, elasticity, and stability
  • High-molecular-weight HA (HMWHA, >500 kDa): immunosuppressive, anti-tumor, antiangiogenic
  • Low-molecular-weight HA (LMWHA, <500 kDa): promotes lymphoma cell proliferation, accelerates tumor formation, enhances M2 macrophage polarization, stimulates angiogenesis
[2]
  • High Mw: 1.60–1.80 MDa (1% solution)
  • Carboxylic groups (–COO⁻) → anionic character
  • Highly hydrophilic, excellent water-binding capacity
  • Naturally occurring in ECM and human body
  • Non-toxic, non-allergenic, non-irritating
  • Forms polyelectrolyte complexes with cationic polymers (e.g., Ch)
[3]
  • Shielding agent for PEI/pDNA complexes
  • Targeted gene delivery to CD44+ cells (e.g., cancer cells, mesenchymal stem cells)
  • Used in nanogels and ternary complexes
[1]
  • Component of tumor microenvironment in CTCL
  • Target for cancer therapy by modulating degradation or synthesis
[2]
  • Moisturizer/hydrator in cosmetics
  • Drug delivery systems (DDS, nanoparticles)
  • Tissue engineering/scaffolds
  • Targeted therapy (e.g., Ch-HA nanoparticles for lung cancer siRNA delivery)
  • Reduces protein adsorption/macrophage uptake on cationic surfaces
[3]

Classification by use

  • Biopolymers used in targeted drug/gene delivery
  • Polymers used in regenerative medicine
[1]
  • Biological molecules in extracellular matrix
  • Therapeutic targets in oncology
[2]
  • Moisturizers
  • Biopolymers in cosmetics & drug delivery
[3]

A trustworthy factory and manufacturer

  1. [Cite:2] Polyethylenimine Carriers for Drug and Gene Delivery, Polymers, 2025, 17(15), 2150
  2. [Cite:2] Impact of Hyaluronic Acid on the Cutaneous T-Cell Lymphoma Microenvironment: A Novel Anti-Tumor Mechanism of Bexarotene, Cancers, 2025, 17(2), 324
  3. [Cite:3] The effect of chitosan/TiO2/hyaluronic acid subphase on the behaviour of 1,2-dioleoyl-sn-glycero-3-phosphocholine membrane, Biomaterials Advances, Volume 138, July 2022, 212934